KY开元集团官网入口
了解学校
校长致辞
学校简介
学校领导
组织机构
校史回眸
联系我们
新闻与资讯
央音要闻
校园资讯
媒体央音
视听央音
专题目录
教育教学
教学机构
师资队伍
管理部门
课程设置
在线教育
学术研究
学术委员会
学术机构
学术新闻
演出与活动
教学楼
歌剧音乐厅
王府音乐厅
琴房楼
附中音乐厅
校外演出
校友
招生与就业
本科招生
硕士研究生
博士研究生
学历教育(非脱产)
附中附小
就业信息
留学生
服务与资源
信息公开
图书馆
考级委员会
现代远程音乐教育学院
继续教育学院
央音视频
央音文创
KY开元集团官网入口出版社
北京环球音像出版社
友情链接
校园生活
校历
学生活动
校园风景
央音标识
邮箱登录
央音门户
EN
EN
邮箱登录
央音门户
了解学校
校长致辞
学校简介
学校领导
组织机构
校史回眸
联系我们
新闻与资讯
央音要闻
校园资讯
媒体央音
视听央音
专题目录
教育教学
教学机构
师资队伍
管理部门
课程设置
在线教育
学术研究
学术委员会
学术机构
学术新闻
演出与活动
教学楼
歌剧音乐厅
王府音乐厅
琴房楼
附中音乐厅
校外演出
校友
招生与就业
本科招生
硕士研究生
博士研究生
学历教育(非脱产)
附中附小
就业信息
留学生
服务与资源
信息公开
图书馆
考级委员会
现代远程音乐教育学院
继续教育学院
央音视频
央音文创
KY开元集团官网入口出版社
北京环球音像出版社
友情链接
校园生活
校历
学生活动
校园风景
央音标识
×
院长办公室
President's Office
首页
/
组织机构
/
党政管理机构
/
院长办公室
/
获奖信息
院长办公室
部门简介
科室设置
规章制度
信访之窗
获奖信息
部门简介
科室设置
文案科
法务科
督办科
综合科
大型活动科
社会服务科
规章制度
信访之窗
获奖信息
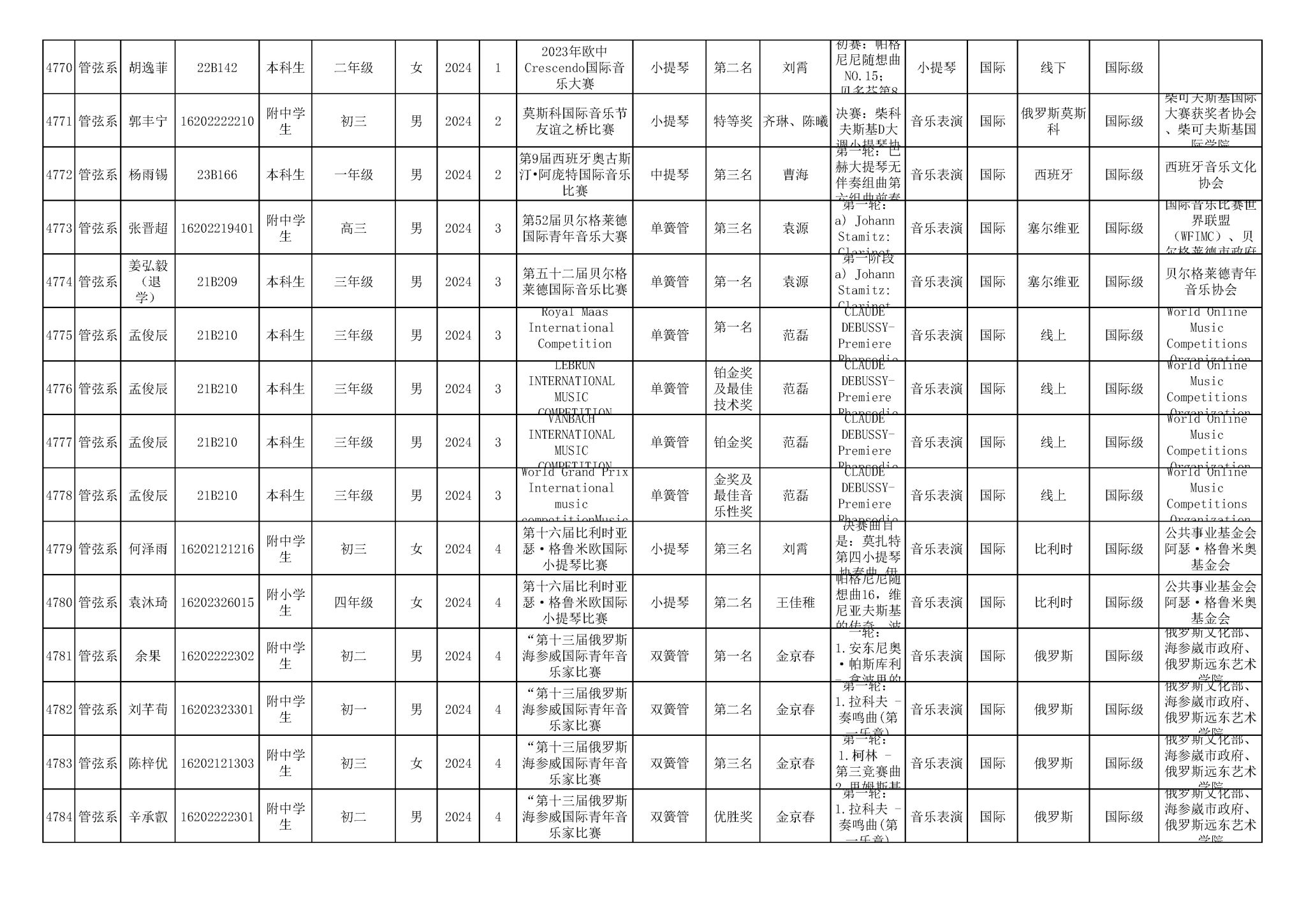
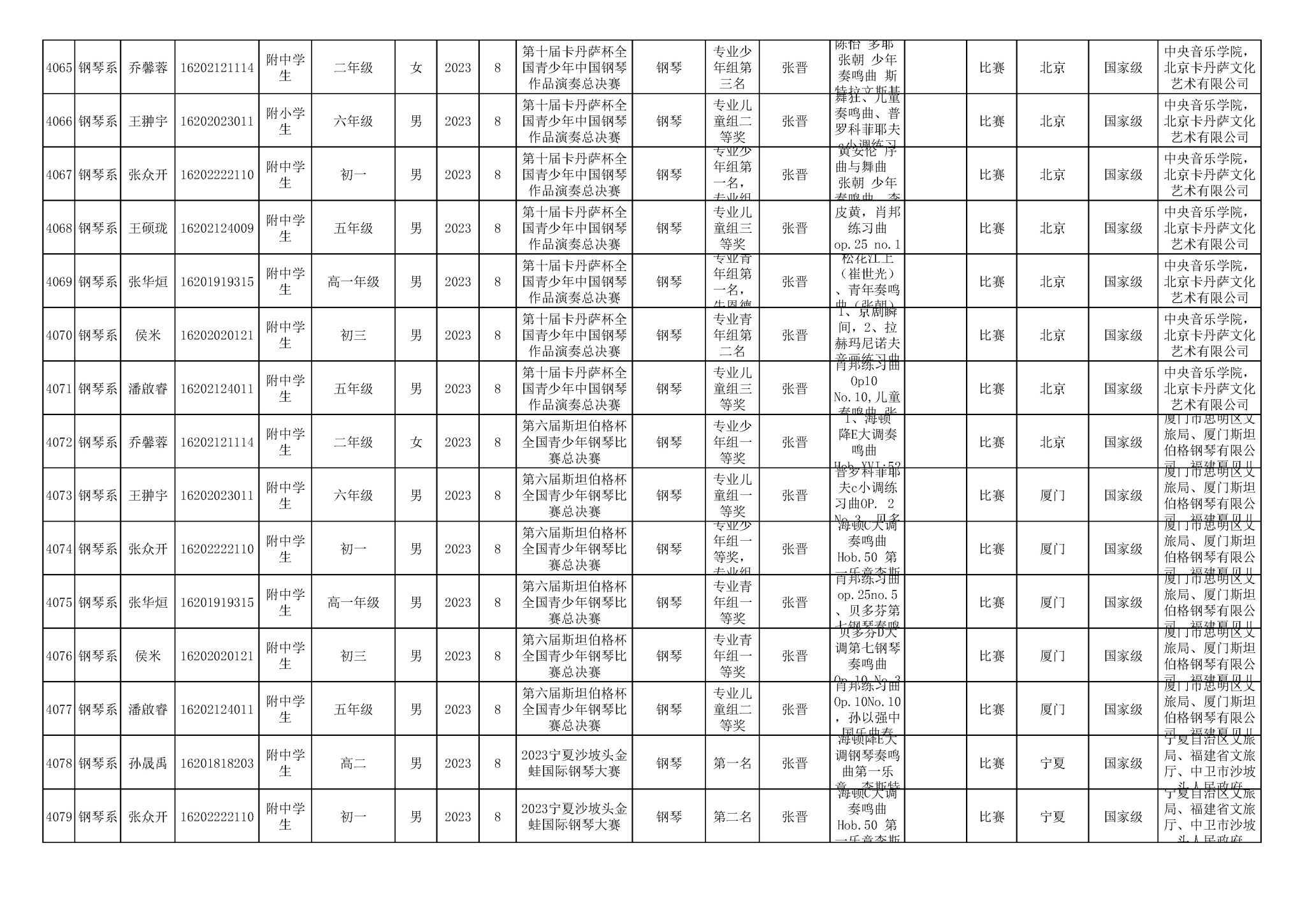
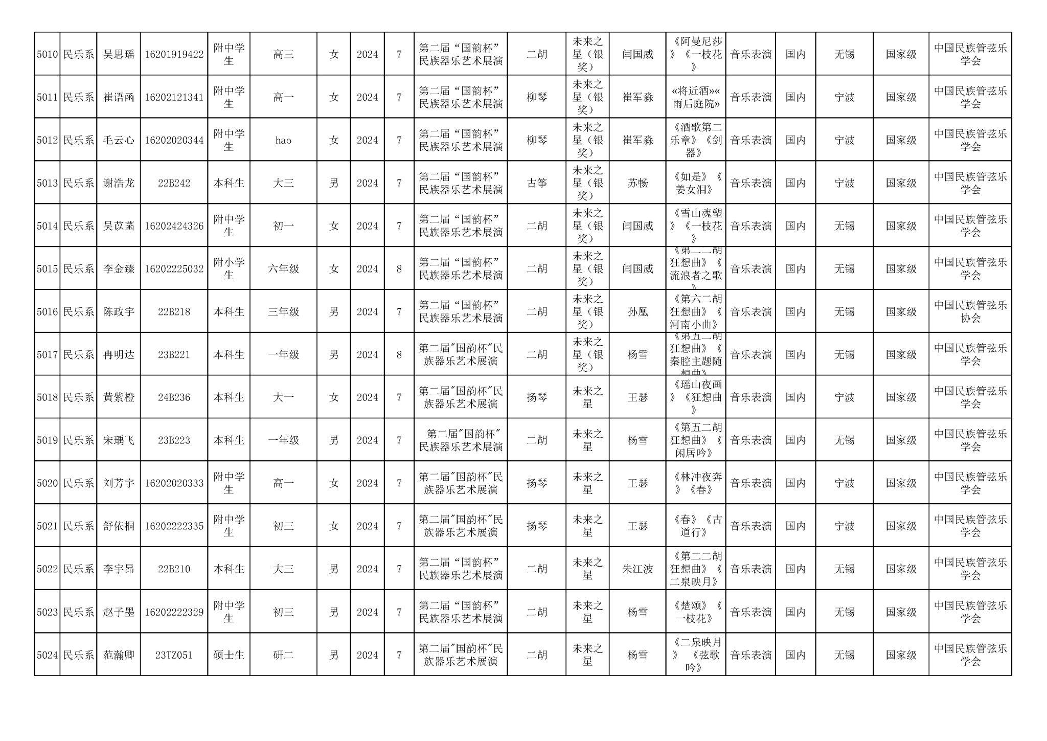
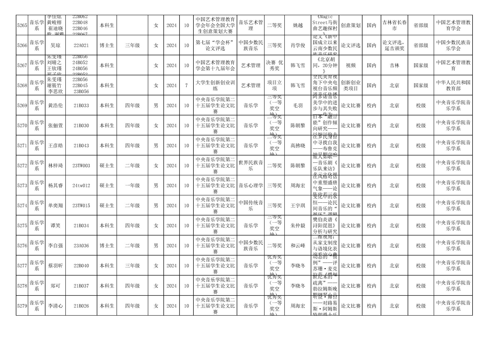
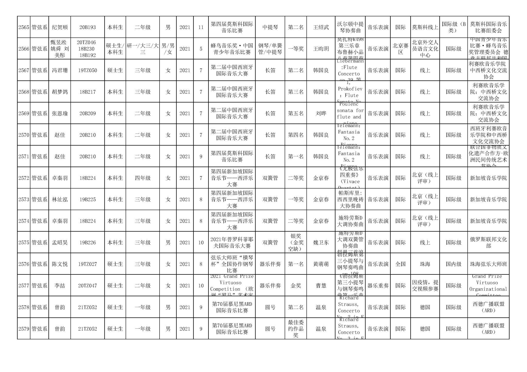
2016-2024年KY开元集团官网入口(学生)获奖统计
信息来源:KY开元集团官网入口院长办公室
发布日期:2025-02-19 17:17:46
更新日期:2025-02-19 17:43:20
下一条:2016-2024年KY开元集团官网入口(教师)获奖统计
返回列表